How many layers of carbon fiber for concrete repair?

That is, the effective sticking cross-sectional area is 66% of the actual sticking cross-sectional area, and the loss is about 34%. In theory, the effect of applying 4 layers of carbon cloth is about equal to the actual use of 2.64 layers of carbon cloth (without considering other factors, only the thickness reduction factor ). If 5 or more layers are pasted, it is worth our attention for material waste.

carbon fiber for concrete repair

How many layers of carbon fiber for concrete repair?

image.png

Briefly sort out for everyone:

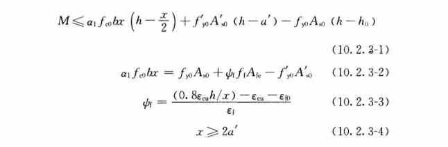
Calculate the effective cross-sectional area of the fiber composite material (carbon cloth, carbon plate, etc.) based on the design bending moment values of the known members after reinforcement.

The actual adhesive cross-sectional area was calculated based on the calculated effective cross-sectional area of the fiber composite material.

Cross-sectional area ÷ width = thickness

Thickness ÷ single layer thickness = number of layers



Is there an upper limit to the number of layers of carbon carbon?


Carbon cloth should not exceed 4 layers.

In order to reliably anchor fiber composites and save materials, this article provides guidance on the number of layers of fiber composites.


What is the thickness reduction factor of carbon fiber?

What is the effect of the thickness reduction factor?


Simple demo calculation:


The thickness coefficient of 4 layers of 300g carbon cloth (elastic modulus according to design value) is:

1.16- (4 × 2.3 × 100000 × 0.167) ÷ 308000

≈0.66≤0.90 is established


That is, the effective sticking cross-sectional area is 66% of the actual sticking cross-sectional area, and the loss is about 34%. In theory, the effect of applying 4 layers of carbon cloth is about equal to the actual use of 2.64 layers of carbon cloth (without considering other factors, only the thickness reduction factor ). If 5 or more layers are pasted, it is worth our attention for material waste.



Horse Construction Recommended Products

You can find anything here you are in need of, have a trust trying on these products, you will find the big difference after that.

HM-20 Unidirectional Carbon Fiber Wrap

High strength, unidirectional carbon fiber wrap pre-saturated to form a carbon fiber reinforced polymer (CFRP) wrap used to strengthen structural concrete elements.

See more >

HM-180C3P Carbon Fiber Adhesive

Good impregnation carbon fiber adhesive for applying carbon fiber reinforced polymer(CFRP) wrap for structural strengthening

See more >

HM-1.2T Unidirectional Carbon Fiber Strip

High strength carbon fiber reinforced polymer (CFRP) strip / laminate / plate for structural strengthening and concrete repair

See more >

Back
Top
Close